


ประกาศเจตนารมณ์
เรื่อง ไม่รับของขวัญและของกำนัลทุกชนิดจากการปฏิบัติหน้าที่ (No Gift Policy)
ของสำนักงานอัยการสูงสุด





ราคากลางแบบ บก01 โครงการก่อสร้างปรับปรุงซ่อมแซมอาคารสำนักงานฯ



ประกาศประกวดราคาจ้างก่อสร้างปรับปรุงซ่อมแซมอาคารสำนักงานฯ

ประกาศแผนการจัดซื้อจัดจ้างประจำปีงบประมาณ พ.ศ. 2568


เมื่อวันที่ ๔ กุมภาพันธ์ ๒๕๖๙
สำนักงานคดีแรงงานภาค ๕
ได้มาตรวจงานสำนักงานอัยการจังหวัดฝาง
และแนวทาวทางการปฏิบัติงาน และการลงสารบบอิเล็กทรอนิกส์อย่างถูกต้องณ สำนักงานอัยการจังหวัดฝาง



วันที่ ๓๑ มกราคม ๒๕๖๙
ข้าราชการสำนักงานอัยการจังหวัดฝาง
ร่วมถวายสักการะพระบรมศพสมเด็จพระนางเจ้าสิริกิติ์
พระบรมราชินีนาถ พระบรมราชชนนีพันปีหลวง
ณ หอประชุมพุทธบริษัทสามัคคี ๕๗ วัดพระพุทธบาดอุดม
ตำบลเวียง อำเภอฝาง จังหวัดเชียงใหม่



วันที่ ๕ ธันวาคม ๒๕๖๘
โดยนายวิเศษ อ่อนตา อัยการจังหวัดฝาง
ได้มอบหมายให้นางสาวกรรณิการ์ สุทธวงค์ อัยการประจำจังหวัด
ประจำสำนักงานอัยการสูงสุด พร้อมด้วยข้าราชการธุรการ
สำนักงานอัยการจังหวัดฝาง เข้าร่วมพิธีวันคล้ายวันพระบรมชสมภพพระบาทสมเด็จพระบรมชนกาธิเบสรมาภูมิพลอดุลยเดชมหาราช
บรมนาถบพิตร วันชาติ และวันพ่อแห่งชาติ ๕ ธันวาคม ๒๕๖๘
ณ อาคารมงคลศาลเจ้าฝาง ตำบลเวียง อำเถอฝาง จัหวัดเชียงใหม่
เมื่อวันที่ ๒๘ พฤศจิกายน ๒๕๖๘
ผู้ตรวจการอัยการ ตรวจราชการ
และให้ข้อแนะนำในการปฏิบัติราชการ
ณ สำนักงานอัยการจังหวัดฝาง
วันที่ ๒๕ พฤศจิกายน ๒๕๖๘
ข้าราชการสำนักงานอัยการจังหวัดฝาง
ร่วมถวายสักการะพระบรมศพสมเด็จพระนางเจ้าสิริกิติ์
พระบรมราชินีนาถ พระบรมราชชนนีพันปีหลวง
ณ โรงเรียนบ้านเวียงฝาง
ตำบลเวียง อำเภอฝาง จังหวัดเชียงใหม่
วันที่ ๒๓ พฤศจิกายน ๒๕๖๘
ข้าราชการสำนักงานอัยการจังหวัดฝาง
ร่วมถวายสักการะพระบรมศพสมเด็จพระนางเจ้าสิริกิติ์
พระบรมราชินีนาถ พระบรมราชชนนีพันปีหลวง
ณ หอประชุมพุทธบริษัทสามัคคี ๕๗ วัดพระพุทธบาดอุดม
ตำบลเวียง อำเภอฝาง จังหวัดเชียงใหม่
วันที่ ๗ พฤศจิกายน ๒๕๖๘
ข้าราชการสำนักงานอัยการจังหวัดฝาง
ร่วมถวายสักการะพระบรมศพสมเด็จพระนางเจ้าสิริกิติ์
พระบรมราชินีนาถ พระบรมราชชนนีพันปีหลวง
ณ หอประชุมพุทธบริษัทสามัคคี ๕๗ วัดพระพุทธบาดอุดม
ตำบลเวียง อำเภอฝาง จังหวัดเชียงใหม่
วันที่ ๓๐ ตุลาคม ๒๕๖๘
ข้าราชการสำนักงานอัยการจังหวัดฝาง
ร่วมถวายสักการะพระบรมศพสมเด็จพระนางเจ้าสิริกิติ์
พระบรมราชินีนาถ พระบรมราชชนนีพันปีหลวง
ณ หอประชุมพุทธบริษัทสามัคคี ๕๗ วัดพระพุทธบาดอุดม
ตำบลเวียง อำเภอฝาง จังหวัดเชียงใหม่
เมื่อวันที่ ๒๙ ตุลาคม ๒๕๖๘ เวลา ๐๘.๐๐ นาิฬิกา
สำนักงานอัยการจังหวัดฝาง นายวิเศษ อ่อนตา อัยการจังหวัดฝาง
พร้อมด้วยข้าราชการอัยการและธุราร สำนักงานอัยการจังหวัดฝาง
ได้ร่วมจัดงานพิธีลงนามถวายความอาลัย สมเด็จพระนางเจ้า สิริกิติ์ พระบรมราชินีนาถพระบรมราชชนนีพันปีหลวง
ณ ที่สำนักงานอัยการจังหวัดฝาง ตำบลเวียง อำเภอฝาง
จังหวัดเชียงใหม่
วันที่ ๒๖ ตุลาคม ๒๕๖๘
ข้าราชการสำนักงานอัยการจังหวัดฝาง
ร่วมถวายสักการะพระบรมศพสมเด็จพระนางเจ้าสิริกิติ์
พระบรมราชินีนาถ พระบรมราชชนนีพันปีหลวง
ณ หอประชุมพุทธบริษัทสามัคคี ๕๗ วัดพระพุทธบาดอุดม
ตำบลเวียง อำเภอฝาง จังหวัดเชียงใหม่
วันที่ ๒๓ ตุลาคม ๒๕๖๘ เวลา ๐๗.๐๐ นาฬิกา
สำนักงานอัยการจังหวัดฝาง โดยนายวิเศษ อ่อนตา
อัยการจังหวัดฝาง ได้มอบหมายให้นายอนุรักษ์ กาวิโจง
รองอัยการจังหวัดฝาง พร้อมด้วยข้าราชการธุรการ
สำนักงานอัยการจังหวัดฝาง เข้าร่วมกิจกรรมน้อมรำลึกในพระมหากรุณาธิคุณ เนื่องในวันคล้ายวันสวรรคต (วันปิยมหาราช)
ณ ว่าที่การอำเภอฝาง ตำบลเวียง อำเภอฝาง จังหวัดเชียงใหม่
วันที่ ๒๑ ตุลาคม ๒๕๖๘ เวลา ๑๑.๐๐ นาฬิกา
สำนักงานอัยการจังหวัดฝาง
เจ้าหน้าที่ข้าราชการธุรการ สำนักงานอัยการจังหวัดฝาง
ร่วมทำบุญสลากกะพัด
ณ วัดเจดีย์อุดมสิน (เวียงสุทโธ) ตำบลเวียง อำเภอฝาง จังหวัดเชียงใหม่
วันที่ ๑๗ ตุลาคม ๒๕๖๘
นายวิเศษ อ่นอตา อัยการจังหวัดฝาง
ได้มอบเกียรติบัตรให้นักเรียนโรงเรียนรังษีวิทยา
เนื่องในโอกาสฝึกงานทางกฎหมาย
เป็นผู้ส่งมอบให้ ณ สำนักงานอัยการจังหวัดฝาง
วันที่ ๑๓ ตุลาคม ๒๕๖๘
นายวิเศษ อ่อนตา อัยการจังหวัดฝาง
ได้มอบหมายให้นางสาวพีพัทธ์ หอสุวรรณจิตร รองอัยการจังหวัด (สคช.) และข้าราชการธุรการสำนักงานอัยการจังหวัดฝาง
ร่วมพิธีวางพวงมาลาเนื่องในวันนวมินทรหาราช เพื่อน้อมรำลึกถึง
พระมหากรุณาธิคุณในพระบาทสมเด็จพระบรมชนกาธิเบศรมหาภูมิพลอดุลบเดชมหาราช บรมราถบพิตร ที่ทรงมีต่อปวงชนชาวไทยล้นพ้น
อย่างหาที่สุดไม่ได้
ณ อาคารมงคลศาลเจ้าฝาง ตำบลเวียง อำเภอฝาง จังหวัดเชียงใหม่
วันที่ ๒๐ กันยายน ๒๕๖๘ เวลา ๐๗.๐๐ นาฬิกา
นายวิเศษ อ่อนตา
อัยการจังหวัดฝาง
ได้มอบหมายให้ นางสาวกรรณิการ์ สุทธวงฺค์
อัยการจังหวัด ประจำสำนักงานอัยการสูงสุด
พร้อมด้วยข้าราชการธุรการสำนักงานอัยการจังหวัดฝาง
เข้าร่วมพิธีเฉลิมพระเกียรติพระบรมราชสมภพพระบาทสมเด็จ
พระปรเมนทรมหาอานันทมหิดล
เนื่องในโอกาสวันคล้ายวันพระบรมราชสมภพครบ 100 ปี
ณ หอประชุมที่ว่าการอำเภอฝาง ตำบลเวียง อำเภอฝาง
จังหวัดเชียงใหม่
วันที่ ๑๒ สิงหาคม ๒๕๖๘ เวลา ๑๗.๐๐ นาฬิกา
นายวิเศษ อ่อนตา
อัยการจังหวัดฝาง
พร้อมด้วยด้วยข้าราชการธุรการสำนักงานอัยการจังหวัดฝาง
ได้ร่วมพิธีถวายเครื่องราชสักการะและวางพานพุ่ม และพิธีจุดเทียน
ถวายพระพรชัยมงคล
เนื่องในโอกาศพิธีเฉลิมพระเกียรติสมเด็จพระนางเจ้าสิริกิติ์ พระบรมราชินีนาถ พระบรมราชชนนีพันปีหลวง เนื่องในโอกาศวันเฉลิมพระชนมพรรษา ๑๒ สิงหาคม ๒๕๖๘ เจริญพระพุทธมนต์และทำบุญตักบาตร
ถวายพระชกุศล
ณ อาคารมงคลศาลเจ้าฝาง ตำบลเวียง อำเภอฝาง จังหวัดเชียงใหม่
วันที่ ๑๒ สิงหาคม ๒๕๖๘ เวลา ๐๗.๐๐ นาฬิกา
นายวิเศษ อ่อนตา
อัยการจังหวัดฝาง
ได้มอบหมายให้นายยุติ เตชะพันธ์
อัยการจังหวัดประจำสำนักงานอัยการสูงสุด
พร้อมด้วยข้าราชการธุรการสำนักงานอัยการจังหวัดฝาง
ร่วมพิธีเฉลิมพระเกียรติสมเด็จพระนางเจ้าสิริกิติ์ พระบรมราชินีนาถ พระบรมราชชนนีพันปีหลวง เนื่องในโอกาศวันเฉลิมพระชนมพรรษา ๑๒ สิงหาคม ๒๕๖๘ เจริญพระพุทธมนต์และทำบุญตักบาตร
ถวายพระชกุศล
ณ อาคารมงคลศาลเจ้าฝาง ตำบลเวียง อำเภอฝาง จังหวัดเชียงใหม่
เมื่อวันที่ ๘ สิงหาคตม ๒๕๖๘
นายมงคล จิรชัยสกุล
ผู้ตรวจการอัยการ ตรวจราชการ
และให้ข้อแนะนำในการปฏิบัติราชการ
ณ สำนักงานอัยการจังหวัดฝาง
เมื่อวันที่ ๗ สิงหาคม ๒๕๖๘ เวลา ๑๖.๓๐ น.
นายวิเศษ อ่อนตา
อัยการจังหวัดฝาง
พร้อมด้วยข้าราชการอัยการและธุรกรการ สำนักงานอัยการจังหวัดฝาง เข้าร่วมกิจกรรมงานกีฬาเชื่อมความสัมพันธ์ระหว่างหน่วยงานยุติธรรม เนื่องในวันรพี ประจำปี ๒๕๖๘
ณ สนามฟุตบอลหญ้าเทียมบีเอ็มคลับ ตำบลเวียง อำเภอฝาง จังหวัดเชียงใหม่
วันที่ ๗ สิงหาคม พ.ศ. ๒๕๖๘ เวลา ๐๗.๓๐ นาฬิกา
นายวิเศษ อ่อนตา
อัยการจังหวัดฝาง
พร้อใด้วยข้าราชการอัยการและธุรการ สำนักงานอัยการจังหวัดฝาง
ได้ร่วมพิธีบำเพ็ญกุศลทักษิณานุประทานถวายแด่
พระเจ้าบรมวงศ์เธอ พระองค์เจ้าพิพัฒน์ศักดิ์ กลมหลวงราชบุรีดิเรกฤทธิ์
เนื่องในวันรพี ประจำปี พ.ศ. ๒๕๖๘
ณ ศาลจังหวัดฝาง ตำบลเวียง อำเภอฝาง จังหวัดเชียงใหม่
วันที่ ๖ สิงหาคม ๒๕๖๘ เวลา ๑๐.๐๐ นาฬิกา
นายวิเศษ อ่อนตา
อัยการจังหวัดฝาง
พร้อมด้วยข้าราชการอัยการและธุรการ สำนักงานอัยการจังหวัดฝาง
ได้จัดพิธีถวายพระพรชัยมงคล สมเด็จพระนางเจ้าสิริกิติ์ พระบรมราชินีนาถ พระบรมราชชนนีพันปีหลวง
เนื่องในโอกาสวันเฉลิมพระชนมพรรษา ๑๒ สิงหาคท ๒๕๖๘
ณ สำนักงานอัยการจังหวัดฝาง
เมื่อวันที่ ๒๘ กรกฎาคม ๒๕๖๘
นายวิเศษ อ่อนตา
อัยการจังหวัดฝาง
ได้มอบหมายให้นายพัชรายุธ พงษ์อมรพรหม
อัยการจังหวัดประจำสำนักงานอัยการสูงสุด
สำนักงานอัยการคุ้มครองสิทธิ
และช่วยเหลือทางกฎหมาย และการบังคับคดีจังหวัดเชียงใหม่
(สาขาฝาง)
นายอนุรักษ์ กาวิโจง
รองอัยการจังหวัดฝาง
พร้อมด้วยข้าราชการธุรการสำนักงานอัยการจังหวัดฝาง
เข้าร่วมพิธีเฉลิมพระเกียรติ พระบาทสมเด็จพระเจ้าอยู่หัว
เนื่องในโอกาสมหามงคลเฉลิมพระพรรษา ๗ รอบ
ณ อาคารมงคลศาลเจ้าฝาง ตำบลเวียง อำเภอฝาง จังหวัดเชียงใหม่
วันที่ ๒๓ กรกฎาคม ๒๕๖๘
นายวิเศษ อ่อนตา อัยการจังหวัดฝาง
พร้อมด้วยข้าราชการอัยการและช้าราชการธุรการ
สำนักงานอัยการจังหวัดฝาง
ได้จัดพิธีถวายพระพรชัยมงคลพระบาทสมเด็จพระเจ้าอยู่หัว
และพิธีถวายสัตย์ปฏิญาณเพื่อเป็นข้าราชการที่ดี
และพลังของแผ่นดิน เนื่องในโอกาสวันเฉลิมพระชนพรรษ
๒๘ กรกฎาคม ๒๕๖๘
ณ สำนักงานอัยการจังหวัดฝาง
วันที่ ๑๐ มิถุนายน ๒๕๖๘ เวลา ๐๘.๓๐ นาฬิกา
นายวิเศษ อ่อนตา อัยการจังหวัดฝาง พร้อมด้วยข้าราชการอัยการ
และธุรการ สำนักงานอัยการจังหวัดฝาง
ได้จัดพิธีถวายพระพรชะยมงคล เนื่องในโอกาสวันเฉลิมพระชนพรรษา
สมเด็จพระนางเจ้าฯ พระบนมราชินี ๓ มิถุนายน ๒๕๖๘
ณ สำนักงานอัยการจังหวัดฝาง
วันที่ ๓ มิถุนายน ๒๕๖๘ เวลา ๐๗.๐๐ นาฬิกา
และเวลา ๑๗.๓๐ นาฬิกา
นายวิเศษ อ่อนตา อัยการจังหวัดฝาง ได้มอบหมาย
ให้นายกฤศ เธียรธีดา อัยการประจำกอง
ร่วมพิธีเฉลิมพระเกรียติสมเด็จพระนางเจ้าฯ
พระบรมราชนี
เนื่องในโอกาสวันเฉลิมพระชนมพรรษา
๓ มิถุนายน ๒๕๖๘
ณ อาคารมงคลศาลเจ้าฝาง ตำบลเวียง อำเภอฝาง จังหวัดเชียงใหม่
วันที่ ๒๙ เมษายน ๒๕๖๘
ผู้กำกับการสถานีตำรวจภูธรแม่อาย
ได้มาสระเกล้าดำหัว นายวิเศษ อ่อนตา อัยการจัหวัดฝาง
ตามประเพณีปี๋ใหม่เมือง ที่สืบทอดกันมา
ณ สำนักงานอัยการจังหวัดฝาง

วันที่ ๒๘ เมษายน ๒๕๖๘
นายวิเศษ อ่อนตา
อัยการจังหวัดฝาง
ได้ร่วมพิธีเจริญพระพุทธมนต์ถวายพระพรชัยมงคลแด่พระบาทสมเด็จ
และพระบรมวงศ์ ประจำปี พ.ศ. ๒๕๖๘
ณ วัดศรีบัวเงิน ตำบลแม่ข่า อำเภอฝาง จังหวัดเชียงใหม่ เวลา ๑๕.๐๐ นาฬิกา
วันที่ ๒๕ เมษายน ๒๕๖๘
นายวิเศษ อ่อนตา
อัยการจังหวัดฝาง
ได้มอบหมายให้ นายอนุรักษ์ กาวิโจง รองอัยการจังหวัดฝาง
พร้อมด้วยข้าราชการธุรการ สำนักงานอัยการจังหวัดฝาง
ร่วมพิธี วันคล้ายวันสวรรคตสมเด็จพระนเรศวรมหาราช
ณ บริเวณลานพิธีพระบรมราชนุสาวรีย์ สมเด็จพระนเรศวรมหาราช
กองร้อยตำรวจตระเวนชายแดนที่ ๓๓๔ อำเภอแม่อาย จังหวัดเชียงใหม่
สระเกล้าดำหัว
เมื่อวันที่ ๒๖ เมษายน ๒๕๖๘ นายวิเศษ อ่อนตา อัยการจังหวัดฝาง
เข้าร่วมประชุมรับมอบนโยบายการบริหารงาน
และแนวทางการปฎิบัติราชการของอธิบดีอัยการภาค ๕
และในภาคบ่ายนายวิเศษ อ่อนตา อัยการจังหวัดฝาง พร้อมด้วยพนักงานอัยการ ข้าราชการธุรการ และเจ้าหน้าที่ร่วมงานสระเกล้าดำหัวคณะผู้บริหารสำนักงานอัยการภาค ๕ เพื่อร่วมสืบสานประเพณีวัฒนธรรมไทย
ณ สำนักงานอัยการภาค ๕ อ.เมือง จ.เชียงใหม่
วันที่ ๒๔ เมษายน ๒๕๖๘
นายวิเศษ อ่อนตา อัยการจังหวัดฝาง
ได้มอบเกียรติบัตรให้นักเรียนโรงเรียนฉือจี้เชียงใหม่ (ฝาง)
เนื่องในโอกาสฝึกงานทางกฎหมาย
เป็นผู้ส่งมอบให้ ณ สำนักงานอัยการจังหวัดฝาง

วันที่ ๒๓ เมษายน ๒๕๖๘
ข้าราชการอัยการสำนักงานอัยการจังหวัดฝาง
และธุรการสำนักงานอัยการจังหวัดฝาง
ได้สระเกล้าดำหัว อัยการจังหวัดฝาง
เนื่องในโอกาส ปี๋ใหม่เมืองตามประเพณีสืบทอดกันมา
ณ สำนักงานอัยการจังหวัดฝาง
วันที่ ๒๑ เมษายน ๒๕๖๘
สำนักงานบังคับ คดี เชียงใหม่ สาขาฝาง เรือนจำอำเภอฝาง คุมประพฤติเชียงใหม่ สาขาฝาง ได้สระเกล้าดำหัว อัยการจังหวัดฝาง
เนื่องในโอกาส ปี๋ใหม่เมืองตามประเพณีสืบทอดกันมา
ณ สำนักงานอัยการจังหวัดฝาง
วันที่ ๑๑ เมษายน ๒๕๖๘
ว่าที่ พ.ต.ต.ยุทธการ อาสากุล ผบ.ร้อย ตชด.334
พร้อมด้วยข้าราชการ ต.ช.ด. กองร้อยตำรวจตระเวนชายแดนที่ 334
ได้มาแสดงความยินดีให้กับนายวิเศษ อ่อนตา อัยการจังหวัดฝาง
ณ สำนักงานอัยการจังหวัดฝาง

วันที่ ๓ เมษายน ๒๕๖๘ เวลา ๑๔.๐๐ นาฬิกา
สำนักงานคุมประพฤติเชียงใหม่ สาขาฝาง
ได้มาแสดงความยินดี กับนายวิเศษ อ่อนตา อัยการจังหวัดฝาง
เนื่องในโอกาสมาทำหน้าที่ ที่สำนักงานอัยการจังหวัดฝาง
ณ สำนักงานอัยการจังหวัดฝาง

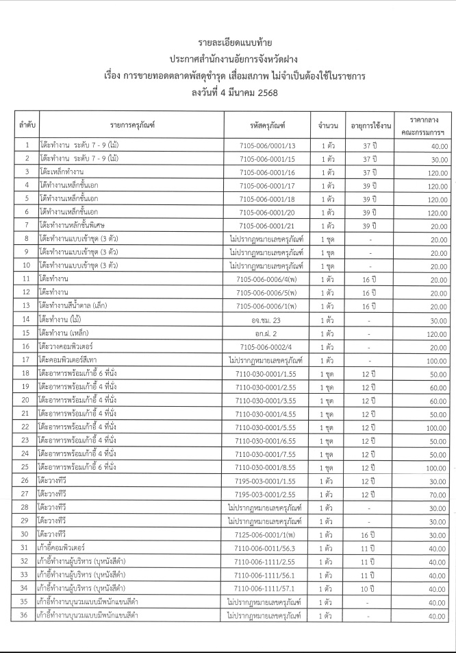
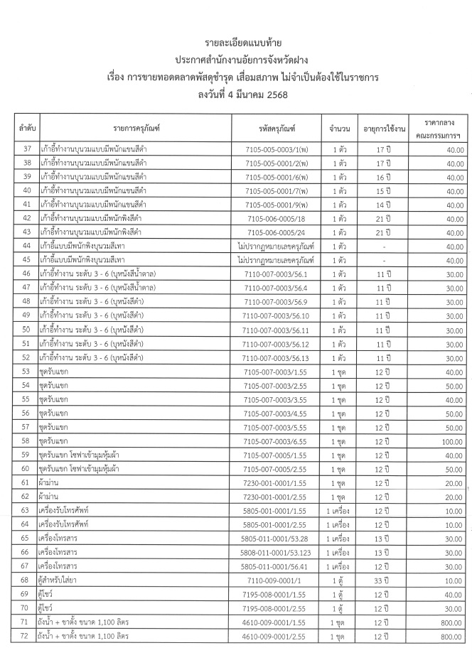
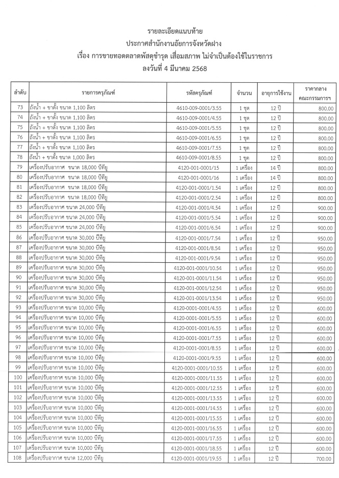
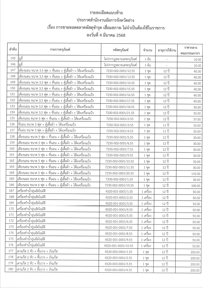
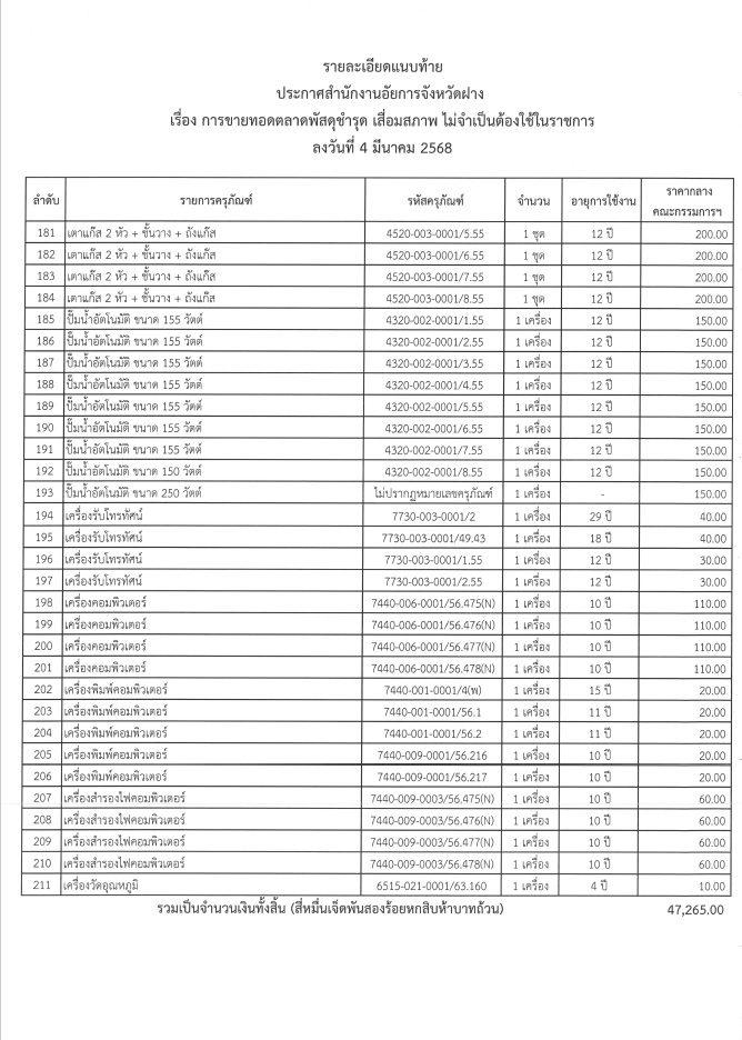
ประกาศสำนักงานอัยการจังหวัดฝาง
เรื่อง การขายทอดตลาดพัสดุชำรุด เสื่อมสภาพ ไม่จำเป็นต้องใช้ในราชการ
เมื่อวันที่ ๔ กุมภาพันธ์ ๒๕๖๘
นายอนวัช อิศโร อธิบดีอัยการ สำนักงานคดีศาลสูงภาค ๕
ได้มาตรวจงานสำนักงานอัยการจังหวัดฝาง
ฝ่ายสนับสนุนงานอัยการคดีศาลสูงจังหวัดเชียงใหม่ (สาขาฝาง)
และแนวทาวทางการปฏิบัติงาน และการลงสารบบอิเล็กทรอนิกส์อย่างถูกต้อง
ณ สำนักงานอัยการจังหวัดฝาง
วันที่ ๒๔ มกราคม ๒๕๖๘ เวลา ๑๓.๓๐ นาฬิกา
นางพุทธิชาต ดอกไม้ไฟ ผู้อำนวยการสำนักงานคุมประพฤติจังหวัดเชียงใหม่ สาขาฝาง
ได้เชิญ นายณัฐวัฒน์ จำปาแขม อัยการจังหวัดฝาง
ให้เกียรติเป็นประธานในพิธีปิด
และมอบหมายใบประกาศแก่ผู้ผ่านการอบรมตามโครงการสานสัมพันธ์
น้อง – พี่ เสริมพลังต้านยาเสพติด รุ่นที่ ๑
ณ ห้องประชุมศูนย์วิจัยและพัฒนาการเกษตรเชียงใหม่
ตำบลโป่งน้ำอร้อน อำเภอฝาง จังหวัดเชียงใหม่
วันที่ ๑๕ มกราคม ๒๕๖๘
นางสลีลญา คำภาแก้ว นายอำเภอแม่อาย
เข้าพบ นายณัฐวัฒน์ จำปาแขม อัยการจังหวัดฝาง
เนื่องในโอกาสสวัสดีปีใหม่ ๒๕๖๘
ณ สำนักงานอัยการจังหวัดฝาง

วันที่ ๑๔ มกราคม ๒๕๖๘
นายณัฐวัฒน์ จำปาแขม
อัยการจังหวัดฝาง
ได้มอบหมายให้นายณัฐธร พิงภักดิ์ อัยการจังหวัดผู้ช่วย
พร้อมด้วยข้าราชการธุรการ สำนักงานอัยการจังหวัดฝาง
เข้าร่วมกิจกรรมเฉลิมพระเกียรติพระบาทสมเด็จพระเจ้าอยู่หัว
เนื่องในโอกาสพระราชพิธีสมมงคลพระชนมายุเท่าพระบาทสมเด็จ
พระพุทธยอดฟ้าจุฬาโลกมหาราช สมเด็จพระปฐมบรมกษัตริยาธิราช
แห่งพระราชวงศ์จักกรี พ.ศ. ๒๕๖๘
ณ ที่ว่าการอำเภอฝาง ตำบลเวียง อำเภอฝาง จังหวัดเชียงใหม่
วันที่ ๙ มกราคม ๒๕๖๘
นางพุทธิชาต ดอกไม้ไฟ
ผู้อำนวยการสำนักงานคุมประพฤติจังหวัดเชียงใหม่ สาขาฝาง
พร้อมคณะเข้าพบ นายณัฐวัฒน์ จำปาแขม อัยการจังหวัดฝาง
เนื่องในโอกาสสวัสดีปีใหม่ ๒๕๖๘
ณ สำนักงานอัยการจังหวัดฝาง

วันที่ ๖ มกราคม ๒๕๖๘
พลตรี มนตรี จีนนคร
ผู้อำนวยการศูนย์พัฒนาปิโตรเลียมภาคเหนือ กรมการพลังงานทหาร
พร้อมคณะเข้าพบ นายณัฐวัฒน์ จำปาแขม อัยการจังหวัดฝาง
เนื่องในโอกาสสวัสดีปีใหม่ ๒๕๖๘
ณ สำนักงานอัยการจังหวัดฝาง

วันที่ ๓ มกราคม ๒๕๖๘
สำนักงานอัยการจังหวัดฝางและคณะ
ยินดีต้อนรับ ว่าที่ร้อยตรี นพรัตน์ ศุภกิจโกศล นายอำเภอฝาง
เข้าพบ นายณัฐวัฒน์ จำปาแขม อัยการจังหวัดฝาง
เนื่องในโอกาสสวัสดีปีใหม่ ๒๕๖๘
ณ สำนักงานอัยการจังหวัดฝาง

เมื่อวันที่ ๑๗ ธันวาคม ๒๕๖๗ เวลา ๑๓.๐๐ นาฬิกา
นายจำนอง ปานทอง
อธิบดีอัยการภาค ๕
ได้มาตรวจราชการและนิเทศงาน พร้อมทั้งให้แนวทางการปฏิบัติงาน
ในด้านต่าง ๆ
ณ สำนักงานอัยการจังหวัดฝาง
เมื่อวันที่ ๕ ธันวาคม ๒๕๖๗ เวลา ๐๗.๐๐ นาฬิกา
นายณัฐวัฒน์ จำปาแขม
อัยการจังหวัดฝาง
ได้มอบหมายให้นายนายพัชรายุธ พงษ์อมรพรหม
อัยการจังหวัดประจำสำนักงานอัยการสูงสุด
สำนักงานอัยการคุ้มครองสิทธิ
และช่วยเหลือทางกฎหมาย และการบังคับคดีจังหวัดเชียงใหม่ (สาขาฝาง)
เข้าร่วมกิจกรรมเนื่องในวันคล้าย
วันพระบรมราชสมภพพระบาทสมเด็จพระบรมชนกาธิเบศร มหาภูมิพล
อดุลยเดชมหาราช บรมนาถบพิตร วันชาติ และวันพ่อแห่งชาติ ๕ ธันวาคม ๒๕๖๗
เพื่อเป็นการน้อมรำลึกในพระมหากรุณาธิคุณ ของพระบาทสมเด็จพระบรมชนกาธิเบศร
มหาภูมิพลอดุลยเดชมหาราช บรมนาถบพิตร
ที่มีต่อพสกนิกรชาวไทย
ณ อาคารมงคลศาลเจ้าฝาง ตำบลเวียง อำเภอฝาง จังหวัดเชียงใหม่
เมื่อวันที่ ๔ ธันวาคม ๒๕๖๗ เวลา ๑๔.๐๐ นาฬิกา
ผู้บัญชาเรือนจำอำเภอฝางพร้อมคณะ
เข้าพบ นายณัฐวัฒน์ จำปาแขม อัยการจังหวัดฝาง
ณ สำนักงานอัยการจังหวัดฝาง
ในโอกาสย้ายมาปฏิบัติหน้าที่ผู้บัญชาเรือนจำอำเภอฝาง

เมื่อวันที่ ๒๙ พฤศจิกายน ๒๕๖๗
นายมงคล จิรชัยสกุล
ผู้ตรวจการอัยการ ตรวจราชการ
และให้ข้อแนะนำในการปฏิบัติราชการ
ณ สำนักงานอัยการจังหวัดฝาง
วันที่ ๒๐ พฤศจิกายน พ.ศ. ๒๕๖๗
เวลา ๐๙.๐๐ นาฬิกา
นายณัฐวัฒน์ จำปาแขม
อัยการจังหวัดฝาง
พร้อมด้วยข้าราชการธุรการสำนักอัยการจังหวัดฝาง
ได้เป็นได้เป็นเกียรติรับเชิญร่วมงานพิธีเปิด
“ศูนย์ศิลปวัฒนธรรม และการท่องเที่ยวอำเภอฝาง”
ณ อาคารศูนย์แสดงสินค้า และพิพิธภัณฑ์ประวัติศาสตร์เมืองฝาง
ตำบลเวียง อำเภอฝาง จังหวัดเชียงใหม่
เมื่อวันที่ ๓๑ ตุลาคม ๒๕๖๗ เวลา ๑๔.๐๐ นาฬิกา
นายณัฐวัฒน์ จำปาแขม
อัยการจังหวัดฝาง
พร้อมด้วยข้าราชการฝ่ายอัยการ จ้าหน้าที่ข้าราชการธุรการ สำนักงานอัยการจังหวัดฝาง
ร่วมทำบุญสลากกะพัด
ณ วัดเจดีย์อุดมสิน (เวียงสุทโธ) ตำบลเวียง อำเภอฝาง จังหวัดเชียงใหม่
วันที่ ๒๓ ตุลาคม ๒๕๖๗ เวลา ๐๘.๐๐ นาฬิกา
นายณัฐวัฒน์ จำปาแขม
อัยการจังหวัดฝาง
ได้มอบหมายให้นายยุติ เตชะพันธุ์
อัยการจังหวัดประจำสำนักงานอัยการสูงสุด
ปฏิบัติราชการในหน้าที่ผู้กลั่นกรองงาน
ประจำสำนักงานอัยการจังหวัดฝาง
พร้อมด้วยขณะ ข้าราชการธุรการสำนักงานอัยการจังหวัดฝาง
น้อเกล้ารำลึก “พระมหากษัตริย์ที่ทรงเป็นที่รักยิ่งของปวงชน”
ปัวปิยมหาราช
เมื่อวันที่ ๑๓ ตุลาคม พ.ศ. ๒๕๖๗
เวลา ๐๘.๐๐ นาฬิกา
นายณัฐวัฒน์ จำปาแขม
อัยการจังหวัดฝาง
ได้มอบหมายให้นายนายพัชรายุธ พงษ์อมรพรหม
อัยการจังหวัดประจำสำนักงานอัยการสูงสุด
สำนักงานอัยการคุ้มครองสิทธิ
และช่วยเหลือทางกฎหมาย และการบังคับคดีจังหวัดเชียงใหม่ (สาขาฝาง)
พร้อมด้วยข้าราชการธุรการสำนักงานอัยการจังหวัดฝาง
สืบเนื่องจากวันที่ ๑๓ ตุลาคม ๒๕๖๗ เป็นวันแห่งการสวรรคตครบ ๘ ปี
หรือเรียกว่า “สัตตมวรรษ” เพื่อเป็นการน้อมรำลึกถึงพระมหากรุณาธิคุณในพระบาทสมเด็จพระบรมชนกาธิเบศร มหาภูมิพลอดุลยเดชมหาราช บรมนาถบพิตร
ที่ทรงมีต่อปวงชนชาวไทยเป็นล้นพ้นอย่างหาที่สุดมิได้
วันอังคารที่ ๘ ตุลาคม ๒๕๖๗
นายณัฐวัฒน์ จำปาแขม
อัยการจังหวัดฝาง
สำนักงานอัยการจังหวัดได้จัดประชุมข้าราชการอัยการ ข้าราชการธุรการ และบุคลากร
เพื่อการสืบสานเจตนารมณ์และดำเนินงานตามกรอบการประเมินประสิทธิภาพการปฏิบัติราชการ ประจำปีงบประมาณ พ.ศ. 2568
วันพฤหัสบดีที่ ๒๖ กันยายน ๒๕๖๖ เวลา ๐๘.๐๐ น.
นายณัฐวัฒน์ จำปาแขม
อัยการจังหวัดฝาง
พร้อมด้วยข้าราชการอัยการ ข้าราชการธุรการ
เข้าร่วมกิจกรรมเคารพธงชาติและร้องเพลงชาติไทย เนื่องในวันพระราชทานธงชาติไทย
๒๖ กันยายน ประจำปี ๒๕๖๖ เพื่อเป็นการสร้างความภาคภูมิใจ
ของคนในชาติ และเป็นการน้อมรำลึกในพระมหากรุณาธิคุณพระบาทสมเด็จพระมงกุฎเกล้าเจ้าอยู่หัว ที่ทรงพระราชทานธงไตรรงค์เป็นธงชาติไทย
ณ บริเวณเสาธง สำนักงานอัยการจังหวัดฝาง
เมื่อวันที่ ๑๕ สิงหาคม ๒๕๖๗ เวลา ๑๕.๐๐ นาฬิกา
นายณัฐวัฒน์ จำปาแขม
อัยการจังหวัดฝาง
พร้อมคณะข้าราชการอัยการ และข้าราชการธุรการ สำนักงานอัยการจังหวัดฝาง
ได้ร่วมโครงการอัยการร่วมใจอาสาเพื่อประชาชนและสังคม
เฉลิมพระเกรียติพระบาทสมเด็จพระเจ้าอยู่หัว
เนื่องในโอกาสพระราชพิธีมหามงคลเฉลิมพระชนพรรษา ๖ รอบ
๒๘ กรกฎาคม ๒๕๖๗
ณ บ้านเด็กโชคดี ตำบลท่าตอน อำเภอแม่อาย จังหวัดเชียงใหม่
วันที่ ๑๒ สิงหาคม ๒๕๖๗ เวลา ๑๘.๐๐ นาฬิกา
นายณัฐวัฒน์ จำปาแขม
อัยการจังหวัดฝาง
ร่วมพิธีถวายพระราชกุศล เนื่องในโอกาสวันเฉลิมพระเกียรติสมเด็จพระนางเจ้าสิริกิติ์ พระบรมราชินีนาถ พระบรมราชชนนีพันปีหลวง วันเฉลิมพระชนมพรรษา
๑๒ สิงหาคม ๒๕๖๗
ณ อาคารมงคลศาลเจ้าฝาง ตำบลเวียง อำเภอฝาง จังหวัดเชียงใหม่
เมื่อวันที่ ๑๒ สิงหาคม ๒๕๖๗ เวลา ๐๘.๐๐ นาฬิกา
นายณัฐวัฒน์ จำปาแขม
อัยการจังหวัดฝาง
ได้มอบหมายให้นายวีระชัย มณีวงษ์ อัยการจังหวัดผู้ช่วย
พร้อมคณะข้าราชการธุรการ สำนักงานอัยการจังหวัดฝาง
ร่วมพิธีเจริญพระพุทธมนต์และทำบุญตักบาตรข้าวสาร อาหารแห้งแด่ พระสงฆ์
และ สามเณร ณ อาคารมงคลศาลเจ้าฝาง ตำบลเวียง อำเภอฝาง จังหวัดเชียงใหม่
วันที่ ๙ สิงหาคม ๒๕๖๗ เวลา ๑๔.๐๐ นาฬิกา
คณะครูและนักเรียนโรงเรียนฉือจี้เชียงใหม่ (ฝาง)
เข้ารับเกียรติบัตร เนื่องในโอกาสฝึกงานทางกฎหมาย
โดย นายณัฐวัฒน์ จำปาแขม อัยการจังหวัดฝาง
เป็นผู้ส่งมอบให้ ณ สำนักงานอัยการจังหวัดฝาง
เมื่อวันที่ ๙ สิงหาคม ๒๕๖๗ เวลา ๐๙.๐๐ นาฬิกา
นายณัฐวัฒน์ จำปาแขม
อัยการจังหวัดฝาง
พร้อมด้วยข้าราชการอัยการ และข้าราชการธุรการ อัยการจังหวัดฝาง
ได้จัดทำพิธีถวายพระพรชัยมงคล สมเด็จพระนางเจ้าสิริกิติ์
พระบรมราชชนนีพันปีหลวง
เนื่องในโอกาศวันเฉลิมพระชนพรรษา ๑๒ สิงหาคม ๒๕๖๗
ณ สำนักงานอัยการจังหวัดฝาง
เมื่อวันที่ ๗ สิงหาคม ๒๕๖๗ เวลา ๑๖.๓๐ น.
นายณัฐวัฒน์ จำปาแขม
อัยการจังหวัดฝาง
พร้อมด้วยข้าราชการฝ่ายอัยการเข้าร่วมกิจกรรมงานกีฬาเชื่อมความสัมพันธ์ระหว่างหน่วยงานยุติธรรม เนื่องในวันรพี ประจำปี ๒๕๖๗
ณ สนามฟุตบอลหญ้าเทียมบีเอ็มคลับ ตำบลเวียง อำเภอฝาง จังหวัดเชียงใหม่
เมื่อวันที่ ๗ สิงหาคม ๒๕๖๗ เวลา ๐๗.๕๕ น.
นายณัฐวัฒน์ จำปาแขม
อัยการจังหวัดฝาง
พร้อมด้วยข้าราชการฝ่ายอัยการ เข้าร่วมพิธีทางศาสนา และพิธีวางพวงมาลา
เพื่อน้อมรำลึกถึงพระกรุณาธิคุณของพระเจ้าบรมวงศ์เธอ กรมหลวงราชบุรีดิเรกฤทธิ์
“พระบิดาแห่งกฎหมายไทย” ศาลจังหวัดฝาง ตำบลเวียง อำเภอฝาง จังหวัดเชียงใหม่
เมื่อวันที่ ๒๘ กรกฎาคม ๒๕๖๗
นายณัฐวัฒน์ จำปาแขม
อัยการจังหวัดฝาง
ได้มอบหมายให้นาย พงศกร สุขชื่น รองอัยการจังหวัด
พร้อมด้วยข้าราชการธุรการสำนักงานอัยการจังหวัดฝาง
เข้าร่วมพิธีเฉลิมพระเกียรติ พระบาทสมเด็จพระเจ้าอยู่หัว
เนื่องในโอกาสมหามงคลเฉลิมพระพรรษา ๖ รอบ
ณ อาคารมงคลศาลเจ้าฝาง ตำบลเวียง อำเภอฝาง จังหวัดเชียงใหม่
เมื่อวันที่ ๒๔ กรกฎาคม ๒๕๖๗
นายณัฐวัฒน์ จำปาแขม
อัยการจังหวัดฝาง
พร้อมด้วยข้าราชการอัยการ และข้าราชการธุรการ สำนักงานอัยการจังหวัดฝาง
ลงนามถวายพระพร
พิธีถวายพระพรชัยมงคล และพิธีถวายสัตย์ปฏิญาณเพื่อเป็นข้าราชการที่ดีและพลังของแผ่นดิน ๒๕๖๗
ณ สำนักงานอัยการจังหวัดฝาง
เมื่อวันที่ ๑๙ กรกฎาคม ๒๕๖๗
นายณัฐวัฒน์ จำปาแขม
อัยการจังหวัดฝาง
พร้อมด้วยคณะข้าราชการธุรการสำนักงานอัยการจังหวัดฝาง
เป็นเกียรติรับเชิญ เข้าร่วมโครงการสานสัมพันธ์ น้อง – พี่
เสริมพลังต้านภัยยาเสพติด รุ่นที่ ๒
จัดโดย สำนักงานคุมประพฤติจังหวัดเชียงใหม่ สาขาฝาง
ณ ศูนย์วิจัยและพัฒนาการเกษตร จังหวัดเชียงใหม่
ตำบลโป่งน้ำร้อน อำเภอฝาง จังหวัดเชียงใหม่
เมื่อวันที่ ๑๖ กรกฎาคม ๒๕๖๗
นายณัฐวัฒน์ จำปาแขม
อัยการจังหวัดฝาง
พร้อมด้วยคณะข้าราชการอัยการและข้าราชการธุรการสำนักงานอัยการจังหวัดฝาง
จัด”กิจกรรมเฉลิมพระเกียรติพระบาทสมเด็จพระเจ้าอยู่หัว
เนื่องในโอกาสมหามงคลเฉลิมพระชนมพรรษา ๖ รอบ ๒๘ กรกฎาคม ๒๕๖๗
ณ สำนักงานอัยการจังหวัดฝาง
เมื่อวันที่ ๒๕ มิถุนายน ๒๕๖๗ เวลา ๐๙.๐๙ นาฬิกา
นายณัฐวัฒน์ จำปาแขม
อัยการจังหวัดฝาง
ได้ร่วมเป็นเกียรติในพิธีบำเพ็ญกุศลเทิดพระเกียรติ
พระบรมราชานุสาวรีย์ สมเด็จพระนเรศวรมหาราช
เพื่อสร้างสิ่งยึดเหนี่ยวจิตใจ และสร้างขวัญกำลังใจแก่ข้าราชการ
และชาชนในพื้นที่
ณ ที่ว่าการกองร้อยตำรวจตระเวนชายแดนที่ ๓๓๔
อำเภอแม่อาย จังหวัดเชียงหใม่
เมื่อวันที่ ๒๑ มิถุนายน ๒๕๖๗
นายโชคชัย สินศุภรัตน์
ผู้ตรวจการอัยการ ตรวจราชการ
และให้ข้อแนะนำในการปฏิบัติราชการ
ณ สำนักงานอัยการจังหวัดฝาง
เมื่อวันที่ ๒๐ มิถุนายน ๒๕๖๗ เวลา ๐๙.๐๐ นาฬิกา
นายณัฐวัฒน์ จำปาแขม
อัยการจังหวัดฝาง
ได้มอบหมายให้นายณัฐธร พิงภักดิ์ อัยการจังหวัดผู้ช่วย
และนางสาวกฤติญา ประทุมไพสันติ นิติกรปฏิบัติการ
เข้าร่วมโครงการส่งเสริมประสานความร่วมมือด้านการยุติธรรม
ของหน่วยงานในกระบวนการยุติธรรม ประจำปี ๒๕๖๗
ณ โรงแรมแทนเจอรีน วิลล์ อำเภอฝาง จังหวัดเชียงใหม่
เมื่อวันที่ ๖ มิถุนายน ๒๕๖๗ เวลา ๑๐.๐๐ นาฬิกา
นายณัฐวัฒน์ จำปาแขม
อัยการจังหวัดฝาง
พร้อมด้วยข้าราชการอัยการ และข้าราชการธุรการ สำนักงานอัยการจังหวัดฝาง
ลงนามถวายพระพร
เนื่องในโอกาสวันเฉลิมพระชนมพรรษาสมเด็จพระนางเจ้าฯ พระบรมราชินี
ณ สำนักงานอัยการจังหวัดฝาง
เมื่อวันที่ ๓ มิถุนายน ๒๕๖๗ เวลา ๐๗.๐๐ น.
นายณัฐวัฒน์ จำปาแขม
อัยการจังหวัดฝาง
ได้มอบหมายให้นางสาวธัญรัตน์ มณีรัตน์ อัยการจังหวัดผู้ช่วย
และคณะข้าราชการธุรการสำนักงานอัยการจังหวัดฝาง
ร่วมพิธีทำบุญตักบาตรถวายพระราชกุศล และเข้าร่วมพิธีถวายเครื่องราชสักการะ
และวางพานพุ่ม และพิธีถวายชัยมงคล เนื่องในโอกาสวันเฉลิมพระชนมพรรษาสมเด็จพระนางเจ้าฯ พระบรมราชินี
๓ มิถุนายน ๒๕๖๗ ณ หอประชุมที่ว่าการอำเภอฝาง เฉลิมพระเกียรติ ๗ รอบ พระชนมพรรษา ตำบลช้างเผือก อำเภอเมืองเชียงใหม่
จังหวัดเชียงใหม่
\
เมื่อวันที่ ๒๔ พฤษภาคม ๒๕๖๗ เวลา ๐๙.๐๐ นาฬิกา
นายณัฐวัฒน์ จำปาแขม
อัยการจังหวัดฝาง
พร้อมคณะข้าราชการธุรการสำนักงานอัยการจังหวัดฝาง
เป็นประธานในพิธีเปิดโครงการทำงานสาธารณประโยชน์
เพื่อเฉลิมพระเกียรติพระบาทสมเด็จพระเจ้าอยู่หัว
เนื่องในโอกาศพระราชพิธีมหามงคลเฉลิมพระชนมพรรษา ๖ รอบ
๒๘ กรกฎาคม ๒๕๖๗
ณ วัดศรีบัวเงิน ตำบลแม่ข่า อำเภอฝาง จังหวัดเชียงใหม่
ประกาศสำนักงานอัยการจังหวัดฝาง
เรื่อง ประกวดราคาซื้อจัดซื้อครุภัณฑ์ประจำปีงบประมาณ พ.ศ. ๒๕๖๗
ด้วยวิธีประกวดราคา
อิเล็กทรอนิกส์ (e-bidding)
เมื่อวันที่ ๓ พฤษภาคม ๒๕๖๗ เวลา ๑๐.๐๐ นาฬิกา
นายณัฐวัฒน์ จำปาแขม
อัยการจังหวัดฝาง
พร้อมด้วยข้าราชการอัยการ และข้าราชการธุรการ สำนักงานอัยการจังหวัดฝาง
ได้จัดพิธีถวายพระพรชัยมงคล พระบาทสมเด็จพระเจ้าอยู่หัว
และลงนามถวายพระพร เนื่องในในโอกาส วันฉัตรมงคล
เมื่อวันที่ ๒๙ เมษายน ๒๕๖๗
นายณัฐวัฒน์ จำปาแขม
อัยการจังหวัดฝาง
ได้มอบหมายให้นายสมพร บุญโยม อัยการจังหวัดประจำสำนักงาน
อัยการสูงสุด และคณะข้าราชการธุรการสำนักงานอัยการจังหวัดฝาง
ร่วมพิธีเจริญพระพุทธมนต์
เนื่องในวันคล้ายวันประสูติ สมเด็จพระเจ้าลูกยาเธอ เจ้าฟ้าทีปังกรรัศมีโชติ มหาวชิโรตตามางกูร สิริวิบูลยราชกุมาร
ณ ศาลาพุทธบริษัทสามัคคี วัดพระพุทธบาทอุดม ตำบลเวียง อำเภอฝาง
จังหวัดเชียงใหม่
สระเกล้าดำหัว
เมื่อวันที่ ๒๖ เมษายน ๒๕๖๗ นายณัฐวัฒน์ จำปาแขม อัยการจังหวัดฝาง
เข้าร่วมประชุมรับมอบนโยบายการบริหารงาน
และแนวทางการปฎิบัติราชการของอธิบดีอัยการภาค ๕
ประจำปีงบประมาณ ๒๕๖๗
และในภาคบ่ายท่านณัฐวัฒน์ จำปาแขม อัยการจังหวัดฝาง พร้อมด้วยพนักงานอัยการ ข้าราชการธุรการ และเจ้าหน้าที่ร่วมงานสระเกล้าดำหัวคณะผู้บริหารสำนักงานอัยการภาค ๕ เพื่อร่วมสืบสานประเพณีวัฒนธรรมไทย
ณ สำนักงานอัยการภาค ๕ อ.เมือง จ.เชียงใหม่
เมื่อวันที่ ๒๔ เมษายน ๒๕๖๗
นายอำเภอแม่อาย พร้อมด้วยคณะ และกองร้อยตำรวจตระเวนชายแดนที่ ๓๓๔ พร้อมด้วยคณะ เข้าเยี่ยมคาราวะ นายณัฐวัฒน์ จำปาแขม อัยการจังหวัดฝาง
เนื่องในโอกาสประเพณี ปี๋ใหม่เมือง
เมื่อวันที่ ๒๓ เมษายน ๒๕๖๗ เวลา ๑๐.๓๐ นาฬิกา
คณะข้าราชการอัยการ ข้าราชการธุรการ และเจ้าหน้าที่ สำนักงานอัยการจังหวัดฝาง พร้อมใจร่วมพิธีสระเกล้าดำหัว
นายณัฐวัฒน์ จำปาแขม อัยการจังหวัดฝาง
ณ ห้องประชุม สำนักงานอัยการจังหวัดฝาง
เมื่อวันที่ ๑๙ เมษายน ๒๕๖๗ เวลา ๐๙.๓๐ นาฬิกา
นายณัฐวัฒน์ จำปาแขม อัยการจังหวัดฝาง
พร้อมคณะข้าราชการอัยการจังหวัดฝาง
ได้ร่วมพิธีบำเพ็ญกุศล เจริญพุทธมนต์ ถวายสังฆทาน
และภัตตาหาร เนื่องในวันสถาปนาศาลยุติธรรม ๑๔๒ ปี
ณ ศาลจังหวัดฝาง
เมื่อวันที่ ๑๐ เมษายน ๒๕๖๗ เวลา ๐๙.๐๐ นาฬิกา
นายณัฐวัฒน์ จำปาแขม อัยการจังหวัดฝาง
พร้อมด้วยข้าราชการอัยการ และข้าราชการธุรการ
สำนักงานอัยการจังหวัดฝาง
เข้าเยี่ยมคารวะผู้พิพากษาหัวหน้าศาลจังหวัดฝาง
พร้อมคณะ ณ ศาลจังหวัดฝาง
เมื่อวันที่ ๑ เมษายน ๒๕๖๗
นายณัฐวัฒน์ จำปาแขม อัยการจังหวัดฝาง
พร้อมด้วยข้าราชการอัยการ และข้าราชการธุรการ
สำนักงานอัยการจังหวัดฝาง
ร่วมให้การต้อนรับ ข้าราชการอัยการ ที่ย้ายมาปฏิบัติราชการสำนักงานอัยการจังหวัดฝาง ตามคำสั่งสำนักงานอัยการสูงสุด
มีรายนามดังต่อไปนี้ นายสมพร บุญโยม นายเฉลิมชัย สุวรรณโชติ
นายณัฐธร พิงภักดิ์ นายวีระชัย มณีวงษ์ และนางสาวธัญรัตน์ มณีรัตน์
เมื่อวันที่ ๑๙ กุมภาพันธ์ ๒๕๖๗
นางวิจิตรา อิศโร อธิบดีอัยการ สำนักงานคดีแรงงานภาค ๕
ได้มาตรวจราชการและนิเทศงาน พร้อมทั้งให้แนวทางการปฏิบัติงาน
ในด้านต่าง ๆ
ณ สำนักงานอัยการจังหวัดฝาง
เมื่อวันที่ ๑๙ กุมภาพันธ์ ๒๕๖๗
นายณัฐวัฒน์ จำปาแขม
อัยการจังหวัดฝาง
ได้มอบหมายให้นายพัทธพล สุขจะ ตำแหน่ง รองอัยการจังหวัดฝาง
และคณะข้าราชการธุรการสำนักงานอัยการจังหวัดฝาง
เข้าร่วมกิจกรรมเคารพธงชาติ และร้องเพลงชาติไทย เพื่อเป็นการแสดงออกถึงความจงรักภักดี ต่อสถาบันชาติ ศาสนา และพระมหากษัตริย์ ณ บริเวณลานหน้าเสาธงที่ว่าการอำเภอฝาง จังหวัดเชียงใหม่
เมื่อวันที่ ๑๙ กุมภาพันธ์ ๒๕๖๗
นางจิตติวรรณ เอมมณีรัตน์ อธิบดีอัยการภาค ๕
ได้มาตรวจงานและนิเทศงาน
พร้อมให้แนวทางการปฏิบัติงานในด้านต่าง ๆ
ณ สำนักงานอัยการจังหวัดฝาง
เมื่อวันที่ ๑๘ มกราคม ๒๕๖๗
นายจำนอง ปานทอง อธิบดีอัยการ สำนักงานคดีศาลสูงภาค ๕
ได้มาตรวจงานสำนักงานอัยการจังหวัดฝาง
ฝ่ายสนับสนุนงานอัยการคดีศาลสูงจังหวัดเชียงใหม่ (สาขาฝาง)
และแนวทาวทางการปฏิบัติงาน และการลงสารบบอิเล็กทรอนิกส์อย่างถูกต้อง
ณ สำนักงานอัยการจังหวัดฝาง
เมื่อวันที่ 5 ธันวาคม 2566
นายณัฐวัฒน์ จำปาแขม อัยการจังหวัดฝาง
พร้อมด้วยข้าราชการฝ่ายอัยการ เข้าร่วมกิจกรรมเนื่องในวันคล้าย
วันพระบรมราชสมภพพระบาทสมเด็จพระบรมชนกาธิเบศร มหาภูมิพล
อดุลยเดชมหาราช บรมนาถบพิตร วันชาติ และวันพ่อแห่งชาติ 5 ธันวาคม 2566 เพื่อเป็นการน้อมรำลึกในพระมหากรุณาธิคุณ ของพระบาทสมเด็จพระบรมชนกาธิเบศร มหาภูมิพลอดุลยเดชมหาราช บรมนาถบพิตร
ที่มีต่อพสกนิกรชาวไทย ณ หอประชุมที่ว่าการอำเภอฝาง ตำบลเวียง
อำเภอฝาง จังหวัดเชียงใหม่
เมื่อวันที่ 20 พฤศจิกายน 2566
นายโชคชัย สินศุภรัตน์
ผู้ตรวจการอัยการ ตรวจราชการ
และให้ข้อแนะนำในการปฏิบัติราชการ
ณ สำนักงานอัยการจังหวัดฝาง
วันที่ ๒๓ ตุลาคม ๒๕๖๖ เวลา ๐๘.๓๐ น.
นายพัชรายุธ พงษ์อมรพรหม
อัยการจังหวัดประจำสำนักงานอัยการสูงสุด
สำนักงานอัยการคุ้มครองสิทธิ
และช่วยเหลือทางกฎหมาย และการบังคับคดีจังหวัดเชียงใหม่ (สาขาฝาง)
พร้อมด้วยขณะ เจ้าหน้าที่สำนักงานอัยการจังหวัดฝาง
น้อมเกล้ารำลึก
“พระมหากษะติย์ที่ทรงเป็นที่รักยิ่งของปวงชน”
วันปิยมหาราช
สืบเนื่องจากวันที่ 13 ตุลาคม 2566 เป็นวันแห่งการสวรรคตครบ 7 ปี
หรือเรียกว่า “สัตตมวรรษ” เพื่อเป็นการน้อมรำลึกถึงพระมหากรุณาธิคุณในพระบาทสมเด็จพระบรมชนกาธิเบศร มหาภูมิพลอดุลยเดชมหาราช บรมนาถบพิตร ที่ทรงมีต่อปวงชนชาวไทยเป็นล้นพ้นอย่างหาที่สุดมิได้
วันที่ 13 ตุลาคม 2566 เวลา 08.00 น. นายพัทธพล สุขจะ อัยการจังหวัดผู้ช่วย
พร้อขณะ สำนักงานอัยการจังหวัดฝาง เนื่องในวันนวมินทรมหาราช
13 ตุลาคม 2566 เพื่อเป็นการน้อมรำลึกถึงพระมหากรุณาธิคุณในพระบาทสมเด็จพระบรมชนกาธิเบศร มหาภูมิพลอดุลยเดชมหาราช บรมนาถบพิตร ที่ทรงมีต่อปวงชนชาวไทย 13 ต.ค. 2566
วันพฤหัสบดีที่ ๒๘ กันยายน ๒๕๖๖ เวลา ๐๘.๐๐ น. นายณัฐวัฒน์ จำปาแขม
อัยการจังหวัดฝาง พร้อมด้วยข้าราชการอัยการ ข้าราชการธุรการ
เข้าร่วมกิจกรรมเคารพธงชาติและร้องเพลงชาติไทย เนื่องในวันพระราชทานธงชาติไทย ๒๘ กันยายน
(Thai National Flag Day) ประจำปี ๒๕๖๖ เพื่อเป็นการสร้างความภาคภูมิใจ
ของคนในชาติ และเป็นการน้อมรำลึกในพระมหากรุณาธิคุณพระบาทสมเด็จพระมงกุฎเกล้าเจ้าอยู่หัว ที่ทรงพระราชทานธงไตรรงค์เป็นธงชาติไทย
ณ บริเวณเสาธง สำนักงานอัยการจังหวัดฝาง
เมื่อวันที่ ๑๒ สิงหาคม ๒๕๖๖ เวลา ๐๖.๓๐ น. นายณัฐวัฒน์ จำปาแขม
อัยการจังหวัดฝาง มอบหมายให้นายพงศกร สุขชื่น อัยการจังหวัดผู้ช่วย
พร้อมด้วยข้าราชการฝ่ายอัยการ เข้าร่วมพิธีเจริญพระพุทธมนต์
และทำบุญตักบาตร และเวลา ๑๗.๐๐ น. เข้าร่วมพิธีถวายเครื่องราชสักการะ
และวางพานพุ่ม และพิธีจุดเทียนถวายพระพรชัยมงคล เนื่องในโอกาส
วันเฉลิมพระเกียรติสมเด็จพระนางเจ้าสิริกิติ์
พระบรมราชินีนาถ พระบรมราชชนนีพันปีหลวง เนื่องในโอกาสมหามงคล
เฉลิมพระชนมพรรษา ๙๑ พรรษา ๑๒ สิงหาคม ๒๕๖๖
ณ อาคารมงคลศาลเจ้าฝาง ตำบลเวียง อำเภอฝาง จังหวัดเชียงใหม่
เมื่อวันที่ ๗ สิงหาคม ๒๕๖๖ เวลา ๑๖.๓๐ น. นายณัฐวัฒน์ จำปาแขม
อัยการจังหวัดฝาง พร้อมด้วยข้าราชการฝ่ายอัยการเข้าร่วมกิจกรรมงานกีฬาเชื่อมความสัมพันธ์ระหว่างหน่วยงานยุติธรรม เนื่องในวันรพี ประจำปี ๒๕๖๖
ณ สนามฟุตบอลหญ้าเทียมบีเอ็มคลับ ตำบลเวียง อำเภอฝาง จังหวัดเชียงใหม่
เมื่อวันที่ ๗ สิงหาคม ๒๕๖๖ เวลา ๐๗.๕๕ น. นายณัฐวัฒน์ จำปาแขม อัยการจังหวัดฝาง
พร้อมด้วยข้าราชการฝ่ายอัยการ เข้าร่วมพิธีทางศาสนา และพิธีวางพวงมาลา
เพื่อน้อมรำลึกถึงพระกรุณาธิคุณของพระเจ้าบรมวงศ์เธอ กรมหลวงราชบุรีดิเรกฤทธิ์
“พระบิดาแห่งกฎหมายไทย” ศาลจังหวัดฝาง ตำบลเวียง อำเภอฝาง จังหวัดเชียงใหม่
และนายณัฐวัฒน์ จำปาแขม อัยการจังหวัดฝาง ได้มอบหมายให้นายพัทธพล สุขจะ
อัยการจังหวัดผู้ช่วย เข้าร่วมกิจกรรมศาลจำลอง และมอบหมาย
ให้นายสุธินันท์ พวงมาลัย อัยการจังหวัดผู้ช่วย และนายวุฒิชัย สุวรรณวานิชกุล
อัยการจังหวัดผู้ช่วย ร่วมกิจกรรมแข่งขันตอบปัญหา
เมื่อวันที่ ๒๘ กรกฎาคม ๒๕๖๖ เวลา ๐๖.๓๐ น. นายณัฐวัฒน์ จำปาแขม อัยการจังหวัดฝาง
พร้อมด้วยข้าราชการฝ่ายอัยการ ร่วมพิธีเจริญพระพุทธมนต์
และทำบุญตักบาตร และเวลา ๑๗.๐๐ น. นายณัฐวัฒน์ จำปาแขม อัยการจังหวัดฝาง
มอบหมายให้นายพัชรายุธ พงษ์อมรพรหม อัยการจังหวัดประสำนักงานอัยการสูงสุด
ร่วมพิธีถวายเครื่องราชสักการะและวางพานพุ่ม และพิธีจุดเทียนถวายพระพรชัยมงคล
เนื่องในโอกาสวันเฉลิมพระชนมพรรษา ๒๘ กรกฎาคม ๒๕๖๖ ณ อาคารมงคลศาลเจ้าฝาง
ตำบลเวียง อำเภอฝาง จังหวัดเชียงใหม่
เมื่อวันที่ ๒๖ กรกฎาคม ๒๕๖๖ เวลา ๐๙.๐๐ น. สำนักงานอัยการจังหวัดฝาง
จัดกิจกรรมพิธีถวายพระพรชัยมงคลพระบาทสมเด็จพระเจ้าอยู่หัว
และพิธีถวายสัตย์ปฏิญาณเพื่อเป็นข้าราชการที่ดีและพลังของแผ่นดิน
เนื่องในโอกาสมหามงคลเฉลิมพระชนมพรรษา วันที่ ๒๘ กรกฎาคม ๒๕๖๖
โดยมีนายณัฐวัฒน์ จำปาแขม อัยการจังหวัดฝาง เป็นประธานในพิธี
พร้อมด้วยข้าราชการฝ่ายอัยการ และเจ้าหน้าที่ เข้าร่วมพิธี
ณ สำนักงานอัยการจังหวัดฝาง ชั้น ๑
เมื่อวันที่ ๑๙ กรกฎาคม ๒๕๖๖ นายณัฐวัฒน์ จำปาแขม อัยการจังหวัดฝาง
มอบหมายให้นายวุฒิชัย สุวรรณวานิชกุล อัยการจังหวัดผู้ช่วย
พร้อมด้วยนายฉัตรมงคล สุนิธิมงคลชัย นิติกรปฏิบัติการ
เข้าร่วมสัมมนาโครงการ”ส่งเสริมการประสานความร่วมมือด้านการยุติธรรม
ของหน่วยงานในกระบวนการยุติธรรมในเขตอำนาจศาลจังหวัดฝาง
” ประจำปีงบประมาณ พ.ศ. ๒๕๖๖ ณ โรงแรมแทนเจอรีน วิลล์
ตำบลสันทราย อำเภอฝาง จังหวัดเชียงใหม่
เมื่อวันที่ ๒๖ มิถุนายน ๒๕๖๖ นายณัฐวัฒน์ จำปาแขม อัยการจังหวัดฝาง
มอบหมายให้นายวุฒิชัย สุวรรณวานิชกุล อัยการจังหวัดผู้ช่วย
พร้อมด้วยข้าราชการฝ่ายอัยการ ร่วมพิธีเจริญพระพุทธมนต์ ทำบุญตักบาตรถวายพระราชกุศลแด่สมเด็จพระอริยวงศาคตญาณ สมเด็จพระสังฆราช
สกลมหาสังฆปริณายก เนื่องในโอกาสฉลองพระชนมายุ 8 รอบ
ณ วัดพระบาทอุดม (บ่อน้ำซาววา) ตำบลเวียง อำเภอฝาง จังหวัดเชียงใหม่
เมื่อวันที่ 16 มิถุนายน 2566
นายคมวิทย์ แดงไชยวัฒน์ ผู้ตรวจการอัยการ ตรวจราชการและติดตามผลการปฏิบัติงาน ประจำปีงบบประมาณ พ.ศ.2666 ครั้งที่ 2 ณ สำนักงานอัยการจังหวัดฝาง
เมื่อวันที่ 24 พฤษภาคม 2566 เวลา 09.30 น.
นายณัฐวัฒน์ จำปาแขม อัยการจังหวัดฝาง
พร้อมด้วยข้าราชการฝ่ายอัยการ และเจ้าหน้าที่
ร่วมทำบุญสรงน้ำพระธาตุพระเจ้าทันใจ ณ
วัดเจดีย์อุดมสิน (เวียงสุทโธ) ตำบลเวียง อำเภอฝาง จังหวัดเชียงใหม่
เมื่อวันที่ 3 พฤษภาคม 2566 เวลา 09.00 น. สำนักงานอัยการจังหวัดฝาง
จัดกิจกรรมเฉลิมพระเกียรติพระบาทสมเด็จพระเจ้าอยู่หัว เนื่องในโอกาส
วันฉัตรมงคล โดยมีนายณัฐวัฒน์ จำปาแขม อัยการจังหวัดฝาง เป็นประธานในพิธี พร้อมด้วยข้าราชการฝ่ายอัยการ และเจ้าหน้าที่ ร่วมถวายความจงรักภักดี
และสำนึกในพระมหากรุณาธิคุณของพระบาทสมเด็จพระเจ้าอยู่หัว ณ
สำนักงานอัยการจังหวัดฝาง
เมื่อวันที่ 27 เมษายน 2566 ท่านณัฐวัฒน์ จำปาแขม อัยการจังหวัดฝาง พร้อมด้วยพนักงานอัยการ เข้าพบท่านสุภชัย เตชะหงษา ผู้พิพากษาหัวหน้าศาลจังหวัดฝาง เพื่อร่วมแสดงความยินดีในโอกาสที่มารับตำแหน่งผู้พิพากษาหัวหน้าศาลจังหวัดฝาง
และเพื่อประสานงานการทำงานร่วมกันในกระบวนการยุติธรรม ณ ศาลจังหวัดฝาง
เมื่อวันที่ 25 เมษายน 2566 สำนักงานอัยการจังหวัดฝาง และสำนักงานอัยการคุ้มครองสิทธิและช่วยเหลือทางกฎหมายและการบังคับคดีจังหวัดเชียงใหม่ (สาขาฝาง) ร่วมกิจกรรมสรงน้ำพระและสระเกล้าดำหัว ท่านณัฐวัฒน์ จำปาแขม อัยการจังหวัดฝาง เพื่อความเป็นสิริมงคลและสืบสานประเพณีวัฒนธรรมไทย ณ ห้องประชุม ชั้น 2 สำนักงานอัยการจังหวัดฝาง
สระเกล้าดำหัว
เมื่อวันที่ 21 เมษายน 2566 ท่านณัฐวัฒน์ จำปาแขม อัยการจังหวัดฝาง
ท่านวิเศษ อ่อนตา อัยการจังหวัดประจำสำนักงานอัยการสูงสุด (ผู้กลั่นกรอง)
และท่านยุติ เตชะพันธุ์ อัยการจังหวัดประจำสำนักงานอัยการสูงสุด
(ผู้กลั่นกรอง) เข้าร่วมประชุมรับมอบนโยบายการบริหารงาน
และแนวทางการปฎิบัติราชการขออธิบดีอัยการภาค 5 ประจำปีงบประมาณ 2566
และในภาคบ่ายท่านณัฐวัฒน์ จำปาแขม อัยการจังหวัดฝาง พร้อมด้วยพนักงานอัยการ ข้าราชการธุรการ และเจ้าหน้าที่ร่วมงานสระเกล้าดำหัวคณะผู้บริหารสำนักงานอัยการภาค 5 เพื่อร่วมสืบสานประเพณีวัฒนธรรมไทย ณ สำนักงานอัยการภาค อ.เมือง จ.เชียงใหม่
เมื่อวันที่ 11 เมษายน 2566 เวลา 10.00 น. นายณัฐวัฒน์ จำปาแขม อัยการจังหวัดฝาง พร้อมด้วยข้าราชการอัยการ
ประชุมหารือแนวทางการดำเนินคดีอาญาร่วมกับผู้กำกับการ หัวหน้าพนักงานสอบสวน และพนักงานสอบสวน ของ สภ.ฝาง สภ.แม่อาย และ สภ.ไชยปราการ เพื่อการประสานความร่วมมือในการดำเนินคดีอาญาให้เกิดประสิทธิภาพ อำนวยความยุติทางอาญาให้เป็นไปด้วยความรวดเร็ว และเป็นธรรมแก่ประชาชน

ยินดีต้อนรับ
นายณัฐวัฒน์ จำปาแขม
อัยการผู้เชี่ยวชาญ สำนักงานอัยการภาค ๕
รักษาการในตำแหน่งอัยการจังหวัดฝาง
ประกาศเจตนารมณ์
เรื่อง ไม่รับของขวัญและของกำนัลทุกชนิดจากการปฏิบัติหน้าที่ (No Gift Policy)
ของสำนักงานอัยการสูงสุดประจำปี พ.ศ. ๒๕๖๖
ยินดีต้อนรับ
วันที่ ๑ เมษายน ๒๕๖๕ อัยการจังหวัดฝางและธุรการข้าราชการฝ่ายอัยการ
ขังหวัดฝางยินดีต้อนรับ ท่านอัยการทั้ง ๕ ท่าน สู่สายใยในองค์กร
๑. นายวิเศษ อ่อนตา อัยการจังหวัดประจำสำนักงานอัยการสูงสุด
๒. นายพัชรายุธ พงษ์อมรพรหม อัยการจังหวัดประจำสำนักงานอัยการสูงสุด (สคช.)
๓. นายวุฒิชัย สุวรรณณวานิชกุล อัยการประจำกอง
๔. นายสุธินันท์ พวงมาลัย อัยการจังหวัดผู้ช่วย
๕. นางสาวโชติกา อรรถพิมล อัยการผู้ช่วย
ด้วยความยินดียิ่ง คณะสำนักงานอัยการจังหวัดฝาง และสำนักงานอัยการคุ้มครองสิทธิ
และช่วยเหลือทางกฎหมายเชียงใหม่ (สาขาฝาง)





ขอไว้อาลัยและเชิดชูเกียรติ พ.ต.ท.พิบูลพันธ์ สุขุมานนท์ วันที่ ๔ มกราคม ๒๕๖๕ สำนักงานอัยการจังหวัดฝางได้ร่วมพิธีรดน้ำศพร่วมแสดงความเสียใจ
โดย นายวิจิตร รักราษฎร์ อัยการจังหวัดฝางพร้อมคณะ
วันที่ ๒๑ ธันวาคม ๒๕๖๔ ได้มีการตรวจสอบงานการปฏิบัติงานของข้าราชการ สำนักงานอัยการจังหวัดฝางคดีแรงงานภาค ๕ โดย นายจิระประวัติ แบบประเสริฐอธิบดีอัยการ
สำนักงานคดีแรงงานภาค ๕ พร้อมคณะ เป็นคณะผู้ตรวจงาน
พิธีวางพานพุ่มดอกไม้และพิธีถวายบังคมเนื่องในวันคล้ายวันบรมราชสมภพพระบาทสมเด็จพระบรมชนกาธิเบศร มหาภูมิพลอดุลยเดชมหาราช
บรมนาถบพิตร วันชาติ และวันพ่อแห่งชาติ ๕ ธันวาคม ๒๕๖๔
เกี่ยวกับสำนักงาน
ประวัติความเป็นมา
ที่ตั้งสำนักงานอัยการจังหวัดฝาง เดิมเป็นสถานที่ตั้งของเวียงสุทโธ ตามตำนานเล่าว่า พระเจ้าเวียงสุทโธได้มาตั้งกำแพงเมืองล้อมบริเวณเมืองฝางเพื่อทำศึกแย่งชิงพระนางสามผิวมเหสีของพระเจ้าฝางอุดมสิน (ปัจจุบันมีอนุสาวรีย์พระเจ้าฝาง พระนางสามผิวอยู่ที่ลานวัดพระบาทอุดม) สำนักงานอัยการจังหวัดฝางได้จับจองที่ดิน จำนวน 49 ไร่ 1 งาน 57 ตารางวา และได้ปลูกสิ่งปลูกสร้างอาคารสำนักงานอัยการจังหวัดฝางและบ้านพักข้าราชการอัยการ และธุรการ เดิมได้ตั้งเป็นสำนักงานอัยการศาลเคลื่อนที่ อำเภอฝาง อำเภอแม่อาย และอำเภอพร้าว เมื่อประมาณปี พ.ศ.2518 ต่อมาได้ยุบศาลเคลื่อนที่ดังกล่าว โดยจัดตั้งศาลจังหวัดฝางขึ้นในปี พ.ศ.2528 และสำนักงานอัยการจังหวัดฝางก็ได้ปลูกสร้าง เมื่อ พ.ศ.2529 และได้รื้อถอน เมื่อ พ.ศ.2540 ต่อมาได้ปลูกสร้างอาคารสำนักงานอัยการจังหวัดฝางใหม่ขึ้นโดยสร้างเสร็จและเปิดอาคารปฏิบัติงานเมื่อ 26 ธันวาคม 2541 จนกระทั่งปัจจุบัน เป็นอาคาร 2 ชั้น ซึ่งมีบริเวณเนื้อที่สำหรับเป็นอาคารรวม 540 ตารางเมตร
อำนาจหน้าที่



วิสัยทัศน์ (Vision)
“องค์กรนำในการใช้กฎหมาย เพื่อรักษาความยุติธรรมให้กับประชาชนและสังคม”
พันธกิจ (Missions)
1. ยกระดับคุณภาพมาตรฐานงานตามภารกิจ ด้านการอํานวยความยุติธรรม การรักษาผลประโยชน์ของรัฐและประชาชน และการคุ้มครองสิทธิเสรีภาพและช่วยเหลือทาง กฎหมายแก่ประชาชนให้มีคุณภาพ โปร่งใสและตรวจสอบได้ เพื่อให้ประชาชนเชื่อมั่นและศรัทธา
2. พัฒนาความร่วมมือ บูรณาการเครือข่ายองค์กรหรือหน่วยงานที่เกี่ยวข้อง ทั้งในประเทศและต่างประเทศ ด้านการพัฒนากระบวนการยุติธรรมให้เหมาะสมกับสถานการณ์ที่เปลี่ยนแปลงไปและตอบสนองต่อนโยบายรัฐบาลเพื่อประโยชน์ต่อส่วนรวมของประเทศ
3. เพิ่มศักยภาพมาตรฐานกลไกการบริหารจัดการระบบงานและกระบวนการทํางานที่สําคัญ รวมทั้งการพัฒนาระบบติดตามประเมินผลและระบบจัดการองค์ความรู้เพื่อมุ่งสู่การสร้างนวัตกรรมโดยมีเทคโนโลยีดิจิทัลเป็นพื้นฐาน
4. พัฒนาองค์กรให้มีคุณภาพคู่คุณธรรมตามหลักธรรมาภิบาล บุคลากรมีสมรรถนะสูง มีคุณธรรม จริยธรรม และมีคุณภาพชีวิตที่ดี
โครงสร้าง (Structure)

วัฒนธรรมองค์กร

บุคลากร
ข้าราชการอัยการ

นายวิเศษ อ่อนตา
อัยการผู้เชี่ยวชาญ สำนักงานอัยการภาค ๕
รักษาการในตำแหน่งอัยการจังหวัดฝาง

นายวิจิตร รักราษฎร์
อัยการอาวุโส
สำนักงานอัยการจังหวัดพะเยา ช่วยราชการสำนักงานอัยการจังหวัดฝาง
และให้ช่วยราชการสำนักงานอัยการคดีเยาวชนและครอบครัวจังหวัดเชียงใหม่
รับผิดชอบคดีที่เกิดขึ้นในเขตอำนาจศาลจังหวัดฝาง (อีกหน้าที่หนึ่ง)

นายยุติ เตชะพันธุ์
อัยการจังหวัดประจำสำนักงานอัยการสูงสุด
ปฏิบัติหน้าที่ผู้กลั่นกรองงาน

นางสาวกรรณิการ์ สุทธวงค์
อัยการจังหวัดประจำสำนักงานอัยการสูงสุด
สำนักงานอัยการจังหวัดเเพร่
ช่วยราชการสำนักงานอัยการจังหวัดฝาง
ปฏิบัติหน้าที่ผู้กลั่นกรองงาน

นายอนุรักษ์ กาวิโจง
รองอัยการจังหวัดคุ้มครองสิทธิและช่วยเหลือทางกฎหมาย
และการบังคับคดีจังหวัดพนม
ช่วยราชการสำนักงานอัยการจังหวัดฝาง

นางสาวธัญรัตน์ มณีรัตน์
อัยการจังหวัดผู้ช่วย

นายกฤศ เธียรธีรดา
อัยการประจำกอง
สถาบันพัฒนาข้าราชการฝ่ายอัยการ
ช่วยราชการสำนักงานอัยการจังหวัดฝาง

นายณัฐภูมิ ตระกูล
อัยการประจำกอง
สถาบันพัฒนาข้าราชการฝ่ายอัยการ
ช่วยราชการสำนักงานอัยการจังหวัดฝาง
ข้าราชการธุรการ

นางสาววีรกานต์ หวันแสง
ผู้อำนวยการสำนักอำนวยการ
ส่วนคดีเเละกฎหมาย และสนับสนุนงานศาลสูงจังหวัด

นางสาวเกวลิน กูลณาวงศ์
นิติกรชำนาญการพิเศษ

นิติกรชำนาญการ

นิติกรปฏิบัติการ

นิติกรปฏิบัติการ

นิติกรปฏิบัติการ
ส่วนบริหารทั่วไปและสารบบคดี

นางสาวพิมประภา ฟูไผติ๊บ
นักจัดการงานทั่วไปชำนาญการ

นักจัดการทั่วไปชำนาญการ

นักวิชาการพัสดุชำนาญการ

เจ้าพนักงานธุรการชำนาญงาน

เจ้าพนักงานธุรการชำนาญงาน

นักจัดการงานทั่วไปปฏิบัติการ

นักวิชาการเงินและบัญชีปฏิบัติการ

นักจัดการงานทั่วไปปฏิบัติการ

เจ้าพนักงานธุรการปฏิบัติงาน

นายชาตรี นามวงศ์
เจ้าพนักงานธุรการปฏิบัติงาน

นายเกรียงไกร มะลิคำ
เจ้าพนักงานธุรการปฏิบัติงาน
ลูกจ้างประจำ

พนักงานขับรถยนต์ ส 2

พนักงานสถานที่ บ 2
จ้างเหมาบริการ

พนักงานรักษาความสะอาด

พนักงานรักษาความสะอาด

คนสวน

คนสวน

คนสวน
จ้างเหมาบริษัทรักษาความปลอดภัย

พนักงานรักษาความปลอดภัย

พนักงานรักษาความปลอดภัย
ทำเนียบผู้บริหาร




สถิติงาน
การประกันตัวผู้ต้องหา



ผังกระบวนงานคดี
กฎหมาย
- ประมวลกฎหมายอาญา
- ประมวลกฎหมายแพ่งและพาณิชย์
- ประมวลกฎหมายวิธีพิจารณาความอาญา
- ประมวลกฎหมายวิธีพิจารณาความแพ่ง
- พ.ร.บ. ยาเสพติดให้โทษ พ.ศ.๒๕๒๒
- พ.ร.บ. ฟื้นฟูสมรรถภาพผู้ติดยาเสพติด พ.ศ.๒๕๔๕
- พ.ร.บ. มาตรการปราบปรามผู้กระทำความผิดเกี่ยวกับยาเสพติด พ.ศ.๒๕๓๔
- พ.ร.ก. ป้องกันการใช้สารระเหย พ.ศ.๒๕๓๓
- พ.ร.บ.คนเข้าเมือง พ.ศ.๒๕๒๒
- พ.ร.บ. การทำงานของคนต่างด้าว พ.ศ.๒๕๕๑
- พ.ร.ฎ. การทำงานในอาชีพและวิชาชีพที่ห้ามคนต่างด้าวทำ พ.ศ.๒๕๒๒
ประกาศจัดซื้อจัดจ้าง
ติดต่อหน่วยงาน
สำนักงานอัยการจังหวัดฝาง
เลขที่ 479 ถนนสันอุดม ตำบลเวียง
อำเภอฝาง จังหวัดเชียงใหม่ 50110
โทรศัพท์, โทรสาร 0 5345 1414
E-mail : fang@ago.go.th
IP Phone : 532512

































































































































































































































































































































































































































































































































































